Thoát
[TOÁN 12] Đề kiểm tra học kì 1 Đề số 3
Nộp bài
PHẦN 1
PHẦN 2
PHẦN 3
11
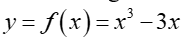
(Hiểu - GQ1.4) Mệnh đề nào sau đây sai? Khoảng tứ phân vị của mẫu số liệu nghép nhóm
Là giá trị xấp xỉ cho khoảng tứ phân vị của mẫu số liệu gốc.
Không bị ảnh hưởng bởi các giá trị bất thường trong mẫu số liệu.
Có thể dùng để đo mức độ phân tán của nửa giữa của mẫu số liệu
Là hiệu số giữa tứ phân vị thứ nhất và tứ phân vị thứ ba của mẫu số liệu ghép nhóm đó.
PHẦN 1
1
2
3
4
5
6
7
8
9
10
11
12
PHẦN 2
13
14
15
16
PHẦN 3
17
18
19
20
21
22













